27.03.2020 23:29 Gavro Vujanović
Miloš Bošnjaković, prvi čovjek britanske kompanije Eastern Mining koja posluje u BiH glavni je kandidat za predsjednika Fudbalskog kluba Radnik po želji gradonačelnika Bijeljine Miće Mićića, saznaje naš portal. Prema informacijama bliskim Gradskom stadionu u najvećem semberskom gradu glavnu riječ oko kluba, kojeg želi da u potpunosti da preuzme, pa i privatizuje, vodi aktuelni podpredsjednik...

27.03.2020 22:17 Gavro Vujanović
Kome smeta Mladen Krstajić u Bijeljini i ko to u ovom semberskom gradu na želi Fudbalski klub Radnik na evropskom nivou i u vrhu fudbala BiH? Juče je popularni Krle, nakon što je podnio ostavku na mjesto predsjednika kluba krajem 2019. godine, istu i povukao jer o njoj nije raspravljala Skupština, kao najviši klupski organ skoro tri mjeseca. Kao čovjek čvrstog karaktera pismenim putem je...

27.03.2020 20:07 Administrator DC
Iako je Alija Fatić, predsjednik Odbojkaškog saveza Bosne i Hercegovine, bio najavio da će se danas donijeti rješenje o odbojkaškim šampionatima Bosne i Hercegovine, u obje konkurencije, do toga nije došlo. Farić je bio najavio telefonsku sjednicu Upravnog odbora, ali je očigledno a tim manipulisao iz njemu znanih razloga. On je juče poslao dopis klubovima i zatražio od njih izjašnjene ko...

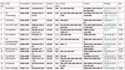
27.03.2020 19:17 S. Papaz
Rukometni savez Republike Srpske objavio je danas koliko koji od klubova Premijer lige Bosne i Hercegovine duguje na Savezu na osnovu kotizacije, prelaznog roka, članarine i kazni. U vrhu dužnika kod Premijer lige BiH za rukometaše je Izviđač, koji duguje 3199 KM, a iza njega slijedi Slavija sa dugovanjem od 2994 KM. Lokomotiva duguje 2709 KM, a Konjuh iz Živinica 2555 KM. Kod djevojaka,...

27.03.2020 19:11 Administrator DC
Pandemija koronavirusa donijela je žestok poremećaj u svim sportskim takmičenjima, a problemi nisu zaobišli ni Rukometni savez BiH, odnosno takmičenja pod njegovom ingerencijom. Dok se vode rasprave o tome šta se treba uraditi, predsjednik Rukometnog saveza Republike Srpske i donedavni predsjednik RS BiH Marinko Umičević reagovao je na izjavu predsjednika RS BiH Slobodana Zadre....

27.03.2020 18:15 Administrator DC
Neimar Jr. trenutno se nalazi u Brazilu gdje iščekuje prolazak pandemije virusa COVID – 19 i nastavak fudbalskih takmičenja. Ipak, danas se ponovo našao na udaru kritika javnosti nakon što je objavio fotografiju na kojoj se uz odbojku na pijesku druži sa prijateljima. Neimarov stav suprotstavljen je savjetima Svjetske zdravstvene organizacije (WHO) u pokušaju suzbijanja širenja virusa....

27.03.2020 18:12 Administrator DC
Bivši bugarski fudbaler Dimitar Berbatov prozvao je Real Madrid zbog slučaja Luke Jovića. Srpski fudbaler doživio je kritike nakon što je prekršio samoizolaciju i otputovao u Srbiju. "Jović je, kao i ja, sa Balkana. To znači da je ponekad lud. Nadam se da ga slava nije previše udarila u glavu nakon transfera u Real. To može biti jako opasno", rekao je Berbatov pa dodao: "Ja sam bio u...

27.03.2020 18:09 Administrator DC
MILANO - Trofejni srpski odbojkaš Nemanja Petrić igrom slučaja posmatrao je utakmicu Lige šampiona Atalanta - Valensija koja je označena kao početak haosa u Lombardiji, ali je, na sreću, prošao bez ikakvih zdravstvenih posljedica.   Tamošnji stručnjaci prethodnih dana nazvali su ovaj meč “biološkom bombom” te nerijetko pominjali da je...

27.03.2020 18:05 Administrator DC
Mnogi spekulišu o tome kada će biti nastavljene fudbalske sezone, ali je jasno da je praktično nemoguće napraviti konačne procjene, s obzirom da je u ovom trenutku preko 100 igrača i zvaničnika bilo pozitivno na Covid-19. Portugalski O’Žogo napravio je listu od 82 ljudi, koji su profesionalno povezani sa fudbalom, a kojima je od 17. do 26. marta konstantovano da su zaraženi virusom....

27.03.2020 17:59 Administrator DC
Nekadašnji fudbaler Juventusa i italijanske reprezentacije Anđelo di Livio govorio je za italijanske medije o stanju u fudbalu u jeku pandemije koronavirusa i naglasio kako fudbal u veoma teškoj situaciji nikome ne treba da bude na umu.   “Došlo je vrijeme da se sve zatvori i da se otkaže sezona. Nema poente da se igra, ljudi razmišljaju o svemu...

XS SM MD LG XL XXL