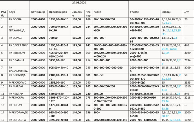
Rukometni savez Republike Srpske objavio je danas koliko koji od klubova Premijer lige Bosne i Hercegovine duguje na Savezu na osnovu kotizacije, prelaznog roka, članarine i kazni.
U vrhu dužnika kod Premijer lige BiH za rukometaše je Izviđač, koji duguje 3199 KM, a iza njega slijedi Slavija sa dugovanjem od 2994 KM. Lokomotiva duguje 2709 KM, a Konjuh iz Živinica 2555 KM.
Kod djevojaka, ŽRK Izviđač duguje 2310 KM, a Katarina 2272 KM.
Na ovoj tabeli se GREŠKOM našao tim Zrinjskog. Oni su svoju kaznu izmirili...


| Sloboda | : | Iskra |
| Lokomotiva | : | Vogošća PH |
| Borac m:tel | : | Konjuh |
| Bosna Vispak | : | Sloga (D) |
| Leotar | : | Maglaj |
| Slavija | : | Gračanica |
| Sloga (GV-U) | : | Goražde |
| Izviđač CO | : | Drina |
| Poz | Tim | Utak | Pob | Ner | Por | Bod | |
| 1 | Borac m:tel | 18 | 15 | 1 | 2 | 46 | |
| 2 | Gračanica | 18 | 14 | 0 | 4 | 42 | |
| 3 | Bosna Vispak | 18 | 10 | 3 | 5 | 33 | |
| 4 | Sloga (GV-U) | 18 | 10 | 2 | 6 | 32 | |
| 5 | Izviđač CO | 18 | 10 | 2 | 6 | 32 | |
| 6 | Sloga (D) | 18 | 7 | 7 | 4 | 28 | |
| 7 | Slavija | 18 | 8 | 3 | 7 | 27 | |
| 8 | Sloboda | 18 | 8 | 1 | 9 | 25 | |
| 9 | Lokomotiva | 18 | 7 | 4 | 7 | 25 | |
| 10 | Maglaj | 18 | 8 | 1 | 9 | 25 | |
| 11 | Leotar | 18 | 7 | 2 | 9 | 23 | |
| 12 | Konjuh | 18 | 6 | 3 | 9 | 21 | |
| 13 | Vogošća PH | 18 | 6 | 1 | 11 | 19 | |
| 14 | Goražde | 18 | 6 | 0 | 12 | 18 | |
| 15 | Iskra | 18 | 5 | 2 | 11 | 17 | |
| 16 | Drina | 18 | 1 | 0 | 17 | 3 | |